Hardware benchmarks, 2007

Source: Tom's Hardware



CPU

CPU Benchmark 2007



Video

Video Benchmark 2007



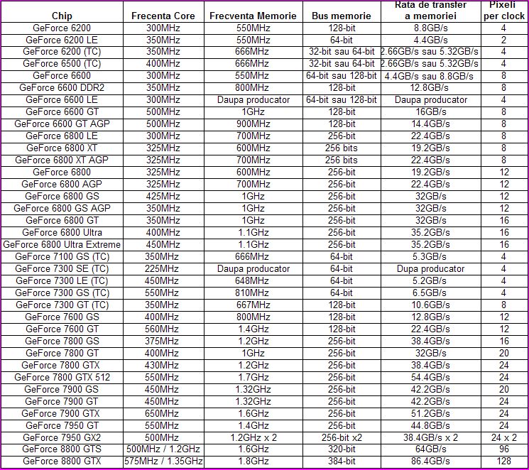
nVidia line-up

nVidia



ATi line-up

ATi